全院各本科生同学:
学生素质综合测评是对学生在校期间各方面表现的测定和评价。根据学校和学院相关工作要求,凡在Bsports官网注册并参加全日制学习活动的普通本科生,均应进行测评。根据学校指导意见和《Bsports必一体育学院本科生素质综合测评实施细则(2022年5月修订)》(见附件)工作要求,学院将开展2023-2024学年度本科生素质综合测评工作。现将有关事项通知如下:
一、评选范围
Bsports必一体育2021级、2022级、2023级在籍且基本学制年限内全日制本科生(含全日制港澳台本科生)。休学、退学、推迟毕业的本科生不能参评并且不纳入基数计算。
二、评选计分
各项计分依据事项有效时间为2023年9月1日至2024年8月31日。(以论文见刊时间及获奖证书落款时间为准;科研成果应是本人为第一作者;计分标准详见《Bsports必一体育本科学生素质综合测评实施细则》(附件一)。
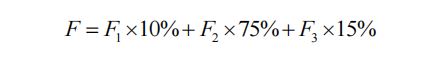
每学年学生素质综合测评的最终结果(记作F)是基本素质F1、课程学习成绩F2、实践与创新能力F3总评得分的加权之和,其计算公式为:

基本素质F1测评各项得分参照《Bsports必一体育本科生基本素质测评实施细则》(附件一),实践与创新能力F3各项得分参照《Bsports必一体育本科生实践与创新能力测评实施细则》(附件二)。
(一)学生登录Bsports必一体育本科生综合测评系统进行F1、F2和F3的自我测评。其中:
(1)课程学习成绩F2的必修课成绩已由教务系统导入,选修课最多选择3门课程计入B2评分。(学院将在9月18日召开素质综合测评工作布置会,建议学生2024年9月18日-9月19日完成操作);
(2)对实践创新能力F3自评根据《Bsports必一体育本科生实践与创新能力测评实施细则》(附件二)进行,并将相关证明材料(学院分团委、学生会、科协的院级学生组织及其他非学院举行的活动如果无获奖证书或参与比赛证明,由学生本人自行联系获取证书、证明)上传系统;具体操作说明详见《4、普通学生》,初次登录角色选择普通学生。(时间截止日期:2024年9月19日);
(二)班级学生素质综合测评小组(简称班级测评小组)对班级学生基本素质F1进行评议计分,对学生提供的实践创新能力F3的自评分进行材料核查确认,具体操作说明详见《3、测评小组长》。(时间截止日期:2024年9月21日);
(三)班级学习委员根据学生系统填报的必修课成绩和学生提供的选修课成绩,复核每位学生的F2得分。(时间截止日期:2024年9月21日);
(四)年级委最终对参评学生基本素质F1、课程学习成绩F2、实践与创新能力F3得分进行最终复核。(时间截止日期:2024年9月23日);
(五)Bsports必一体育优秀奖学金(甲、乙、丙等奖学金)、Bsports必一体育三好学生、优秀学生评选根据综合测评结果和必修课成绩在2024年9月25日前评选完成。
(六)国家奖学金、国家励志奖学金、Bsports必一体育先进班集体及其他专项奖学金根据综合测评结果和必修课成绩在大二上学期,学校相关通知发布后进行。
三、评选程序
(一)成立年级和班级奖学金评定小组
(1)学院发布素质综合测评实施细则和工作通知,面向年级、班级评定委员会成员召开素质综合测评工作布置会(暂定9月18日中午)。
(2)各班于明天9月15日前成立班级测评小组并在一定范围内公示,测评组长由各班班长担任,成员(含组长)至少6人(2021级8人),必须包含班级导师、团支书、学习委员,非学生干部同学2人,测评小组中女生至少1人(2021级2人,班上没有女生的除外)。
(3)各年级于明天9月15日前在辅导员指导下成立年级评定委员会并在一定范围内公示,年级评定委员会由班级导师、年级学生干部、各班核心班委和普通班级学生代表构成。原则上要求男女均覆盖,不同民族学生都包含。
(二)评选流程
(1)公布方案:由年级评定委员会制定工作方案,审核年级符合参评条件的基准人数和奖学金名额;
(2)个人自评:所有在籍本科生需于本通知发布后提前准备相关材料,做好个人总结及自评工作。自9月18日召开素质综合测评工作布置会后,登录Bsports必一体育信息门户-本科生综测,完成基本素质F1、课程学习成绩F2、实践与创新能力F3总评得分填报,同时在系统提交相关证明材料;
(3)初审:班级测评小组严格按照相关规定,对参评本科生提交的材料进行得分初审;
(4)复核:年级评选委员会对初评结果进行复核、排名,将成绩和综测结果进行公示;
(5)学院审定:年级评定委员会审定初评结果上交至学院,经学院审定公示后,报送至校学生工作部。
申请人应对所有申报材料的真实性负责,如有弄虚作假者,取消其之后参评奖学金资格。
Bsports必一体育学生工作办公室
2024年9月14日