第一章 总 则
第一条 为了全面贯彻党的教育方针,鼓励学生争取优秀、发展特长、开拓创新,引导学生在知识、能力、素质诸方面协调发展,培养适应社会主义现代化建设要求的高素质创新人才,根据高等学校培养目标和Bsports官网实际,特制定本办法。
第二条 学生素质综合测评是对学生在校期间各方面表现的测定和评价。设定的测评指标既是评价学生的基本依据,又是学生发展的导向目标。
第三条 学生素质综合测评应坚持公平、公正、公开的原则,采取定量测评与定性评价相结合、过程测评与结果评价相结合、记实测评与民主评议相结合的方法,尽可能科学合理地反映学生的实际素质状况。
第四条 学生素质综合测评的内容主要包括基本素质测评、课程学习成绩、科研和论文、社会活动、“三早”制度及寝室卫生、参与班级活动六部分,六部分所占比例分别为10%、65%、12%、10%、2%、1%。学生素质综合测评成绩按百分制计分,应当参加大学生英语四级考试但考试成绩不合格的学生不能参评奖学金。
第五条 凡在本校注册并参加全日制学习活动的普通本科生、第二学士学位学生,均应依据本办法以班级(或同年级同专业)为单位进行测评。
第六条 学生素质综合测评按学年度进行计算。基本素质的测评由测评小组评议计分,报学院审核(小组成员包括班级导师、班干部、学生代表。要在全班范围内选定成员,做到性别、寝室、党员、学习成绩等因素平衡)。课程学习成绩、科研和论文、社会活动、三部分测评先由学生本人进行自评申报,测评小组复核;“三早”签到率及寝室卫生检查情况、集体班级活动情况由测评小组根据相关记录评分。学生素质综合测评结果作为评奖评优的基本依据。
第二章 基本素质测评
第七条 基本素质是指学生在思想政治表现、个人品德修养、学习态度状况、组织纪律观念、身心健康素质等方面应当具有的符合时代特征的基本品质,是学生世界观、人生观、价值观、道德观及其行为表现等方面的综合体现。
第八条 基本素质测评主要考察以下五方面内容,每个方面给定基准分20分,共100分。
(一)思想政治表现(A1)。
1.热爱祖国,维护四项基本原则,拥护党的路线、方针、政策,不参与任何有损祖国尊严、荣誉、利益和危害社会秩序的活动。
2.政治上积极上进,自觉学习马列主义和中国特色社会主义理论,关心时事,积极参加各项政治学习和活动,自觉加强政治修养。
3.顾全大局,有团结协作精神,关心集体,积极参与各项集体活动,自觉维护集体荣誉,个人利益服从集体利益,不做损害集体利益和荣誉的事。
(二)个人品德修养(A2)。
1.自觉维护社会公德,在公共场所举止文雅,文明礼貌;爱护公物,敢于同不良行为作斗争。
2.诚实守信,谦虚谨慎,为人正直,办事公道;敬老爱幼,团结同学,乐于助人。
3.热爱劳动,热心公益,文明卫生,爱护环境,不奢侈浪费。
(三)学习态度状况(A3)。
1.学风端正,学习目标明确,有科学的思想方法和严谨的治学精神;谦虚好学,刻苦认真,不迟到,不早退,不无故旷课。
2.考风良好,考试不舞弊。
(四)组织纪律观念(A4)。
1.遵守国家法律法规和学校规章制度,自觉维护公共秩序,做到令行禁止。
2.不打架斗殴,不赌博,不酗酒,不观看、传播反动、淫秽书刊和声像制品。
3.遵守宿舍管理规定,按时熄灯就寝,不喧哗、打闹,不影响他人的正常学习和休息,不损毁宿舍设备,不违章使用电器,不留宿校外人员,未经审批不在校外住宿。
(五)身心健康素质(A5)。
1.有健康的体魄,自觉锻炼身体,积极参加课外体育锻炼和体育竞赛活动,体育达标成绩合格;认真参加并完成军训任务。
2.具有心理卫生的基本知识,有较强的适应能力和心理调节能力,能正确对待困难和挫折,情绪稳定,达观向上,人际关系和谐。
3.积极参加有益的文化活动,增进身心健康。
第九条 基本素质测评时,实行在基准分基础上分项减分,结合日常管理记录和测评小组评议,根据以下有关情况进行,扣分后的结果为该项最终得分,每项累计减分不超过20分。
(一)思想政治表现方面:违反四项基本原则,参与有损于祖国尊严、荣誉、利益和危害社会秩序活动的,经查实,减20分;没有事前请假,无正当理由不参加校院组织的集体政治学习、班团会和其他集体活动的,经查实,减2分/次。
(二)个人品德修养方面:不讲社会公德、故意损坏公物或破坏环境的,经查实,减4分/次;因不负责任,不讲诚信,造成一定负面影响和不良后果的,经查实,减3分/次;所在寝室在学院组织的寝室卫生评比中不合格(或差)的,减2分/次。
(三)学习态度状况方面:无故旷课减2分/次;上课迟到、早退减1分/次;违反学习纪律、弄虚作假的,经查实,减2分/次;不按时完成学习任务的,经查实,减1分/次;考试舞弊者,经查实,减20分。
(四)组织纪律观念方面:此项针对学生行为违纪方面减分。触犯国家法律,构成刑事犯罪被追究刑事责任者,减20分;受到学校留校察看处分减15分/次;记过处分减10分/次;严重警告处分减7分/次;警告处分减5分/次;受到校、院通报批评的,减3分/次;打架斗殴、参与赌博、酗酒、观看并传播反动、淫秽书刊和声像制品行为的,不构成处分或通报批评的,经查实,减2分/次;不遵守学校宿舍管理规定行为的,经查实,减2分/次。
(五)身心健康素质方面:体育达标成绩不合格,减8分;应参加军训而未完成军训任务的,减6分;没有事前请假,无正当理由不参加校学院(系)组织课外体育活动的,经查实,减2分/次。
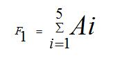
第十条基本素质测评由测评小组评议并评分后,报学院审核。基本素质五个方面测评分累计所得总分即为基本素质测评总评分(记作F1),其计算公式为:

其中,Ai表示各项测评内容评分值。
第三章 课程学习成绩测评
第十一条 课程学习成绩是指学生参加所修专业教学计划规定的必修课程、选修课程以及辅修课程的学习和所取得考核的成绩。成绩评定均采用百分制记分;若课程成绩评定为优、良、中、及格,则分别换算为95、85、75、65分。
公共必修课和专业必修课为必修范围,其他所有(包括限选课、指选课及任选课)课程按选修计加分。必修课程成绩排名分别为专业人数前15%、30%、50%,才可分别参评甲等、乙等、丙等奖学金。
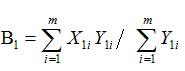
第十二条 课程学习成绩测评采用必修课程、选修课程分别测评计分的方法进行计算,计算公式为:
(一)必修课程成绩

其中,X 1i表示纳入测评的每门必修课的成绩,Y1i表示相应课程的学分,m为纳入测评的必修课总门数;体育课不算在内。
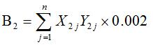
(二)选修课程成绩

其中,X2j表示纳入测评的每门选修课的成绩,Y2j表示相应课程的学分,n为纳入测评的选修课总门数。
(三)参评学生选择3门专业选修课纳入B1评分,选择通识选修、辅修课程共计3门纳入B2评分。
(四)课程学习成绩测评按学年度进行计算,课程学习成绩总评分(记作F2):F2=B1+B2
第四章 科研与论文
第十三条 科研与论文测评主要内容及其评分
(一)出版著作(C1)。公开出版学术、文学、艺术等著作的,按表一加分。不同著作可累加计分,合著者按作者实际承担的工作量计分,本项累加计分不超过25分,出版著作由学院认定。
表一 出版著作评分
|
独(合)著 |
主(参)编 |
10万字以上 |
10万字以下 |
10万字以上 |
5-10万字 |
1-5万字 |
1万字 以下 |
学术著作 |
15 |
3-10 |
10 |
7 |
4 |
3 |
文学、艺术等著作 |
12 |
2-8 |
8 |
5 |
3 |
2 |
(二)发表学术论文及文学、艺术、新闻等作品(C2)。发表学术论文或在合法刊物和媒体(网络媒体除外)上发表文学、艺术、新闻等作品的,按表二加分。所有论文或作品加分应有出版刊物,不同论文或作品按篇数累加计分,同一论文或作品被转载的按转载最高级刊物计分。本项累计加分不超过25分,刊物级别和作品由学院认定。
表二-1 发表学术论文评分
SCI、SSCI、EI、ISTP论文 |
国家权威期刊 |
国家核心期刊 |
公开发行的学术刊物 |
出版的学术论文集 |
合法的内部学术刊物 |
15 |
12 |
8 |
5 |
3 |
1 |
表二-2 发表文学、艺术、新闻等作品评分
国家级权威报刊或新闻媒体 |
省级重要报刊或新闻媒体 |
其它公开发行的报刊或地方新闻媒体,学校主办的公开发行的报刊 |
学校主办的其它报刊或媒体 |
学院主办的 内部刊物 |
5 |
3 |
2 |
1 |
0.5 |
注:1.在正式学术期刊上公开发表学术论文一篇(须两千字以上),独著计分100%;两人合作撰写的,第一作者计分60%,第二作者计分40%;三人以上合作撰写的,第一作者计分50%,其他作者50%平均分配
2.发表的文学、艺术、新闻等作品不包括暑期社会实践活动中发表的作品。
(三)科技发明(C3)。参加科学研究和科技学术活动,取得发明专利的,或大学生科研项目结题经学校评定的,按表三加分。获科研创新成果奖的,按表四加分。不同发明或不同大学生科研项目可累加计分。发明专利或大学生科研项目第一作者按相应项计满分,其他作者按相应项减半计分。本项累计加分不超过25分。
表三 发明、科研项目评分
国家发明专利 |
大学生科研项目(国家级) |
大学生科研项目(校级) |
优秀 |
良好 |
合格 |
优秀 |
良好 |
合格 |
15 |
20 |
15 |
10 |
10 |
7 |
5 |
表四 科研创新成果奖评分
获奖人项目等级 |
省级及以上 |
一等奖 |
二等奖 |
三等奖 |
负责人 |
30 |
25 |
20 |
参加人 |
15 |
12 |
10 |
(四)学科竞赛(C4)。参加学科竞赛的按表五加分。不同项目获奖可累加计分,同一项目获不同等级奖,只计最高分;团体竞赛获奖,队长按相应项计满分,成员按相应项减半计分。团体竞赛获奖的由相关负责人给出成员名单,不得造假、徇私。本项累计加分不超过25分。
表五 学科(文体)竞赛评分
名次 |
获奖等级 |
国际竞赛 |
全国竞赛 |
省部(市)级竞赛 |
校级竞赛 |
院级竞赛 |
1 |
一 |
12 |
10 |
7 |
5 |
2.5 |
2-4 |
二 |
10 |
8 |
5 |
4 |
2 |
5-8 |
三 |
8 |
6 |
4 |
3 |
1.5 |
|
优秀奖 |
5 |
4 |
3 |
2 |
1 |
|
参加比赛 |
3 |
2 |
1.5 |
1 |
0.5 |
注:1.校运会中优秀奖为9-30名;
2.校运会中学院方阵、彩旗方阵等成员按校级竞赛优秀奖分值计;
3.参加比赛的加分项目总计不超过3项。
(五)科研与论文总分F3=C1+C2+C3+C4
第五章 社会活动
第十四条 社会活动评分细则(F4)
(一)文体竞赛(D1)。参加文体竞赛按表五加分。本项累计加分不超过30分。
(二)对积极参加公益活动、社会实践活动、其他社会活动,或者在拾金不昧、见义勇为、舍己救人、艰苦奋斗等方面产生一定社会影响的个人或集体,以及在其他精神文明建设活动受到学院以上表彰的,按表五-1加分(D2)。本项累计加分不超过40分。
表六-1 社会活动评分
|
国家级 |
省部(市)级 |
校级 |
院级 |
标兵级 |
普通级 |
标兵级 |
普通级 |
标兵级 |
普通级 |
|
先进集体 |
负责人 |
10 |
7 |
7 |
5 |
5 |
3 |
1 |
成 员 |
5 |
4 |
4 |
3 |
2 |
1 |
0.5 |
先进个人、积极分子 |
8 |
7 |
6 |
5 |
4 |
3 |
1 |
撰写调查报告、实践报告获奖 |
7 |
5 |
3 |
1 |
注:1.所获荣誉为一等奖,按照标兵级加分;二等奖按照标兵级和普通分值平均分计;三等奖按照普通级加分;特等奖,在标兵级分值基础上加上标兵级与普通级级差计分;
2.优秀学生干部、社会活动积极分子、优秀共青团干、优秀共青团员等荣誉称号均按照先进个人、积极分子类加分;
3.所获荣誉证书或证明需要校、院官方印章(学生组织的印章无效)。
(三)担任学生干部的按表五-2加分(D3)。本项累计加分不超过30分。
表六-2 社会工作评分
社会任职 |
加分 |
校级学生组织主席团成员 |
30 |
校级学生组织部门部长、院学生会主席团成员、院科协主席团成员、院党支部书记联席会副秘书长 |
20 |
校级学生组织部门副部长,院学生会部长,学生党支部书记,年级团总支书记、主席、学习部长 |
15 |
班级团书记、班长、学习委员,社团负责人、院学生组织部门副部长、院科协副部长、院党支部书记联席会部长 |
10 |
其他学生干部 |
5 |
注:担任社会职务以一年为最低期限,多项职务按最高职务分计1次。
(四)社会活动分数 F4=D1+D2+D3
第六章 “三早”制度及寝室卫生
第十五条 “三早”签到率及寝室卫生评分(F5)
(一)“三早”签到率评分
1.实施“三早”制度的年级,早锻炼早签率达到50%(不含50%)以上,可获得评优评先及助学金评定资格。
2.在“三早”制度中,签到率计算规则如下:按照整学年实际签到天数除以需要签到天数(即不含雨雪天气及其他无需早签的其他特殊情况),得到的签到率按四舍五入规则精确到1%。
3.“三早”签到率自50%(计0分)开始,每增加1%的签到率,得0.8分。最大得分为签到率100%时,计40分。(E1)
(二)寝室卫生评分采取加减分制:卫生检查评比优秀上榜率在75%以上(含75%)、65%-75%(含65%)、50%-65%(含50%)的寝室成员分别20分、10分、5分。(E2)
(三)“三早”制度及寝室卫生总分F5=E1+E2
第七章 班级活动参与
第十六条 班级活动参与评分细则(F6)
综合考查学生融入集体的积极程度。具体考查方法:依据学生参加班级的班会、团会、以班级为单位参与活动的到勤率(参与度)。参与度达到80%以上(含80%)、65%-80%(含65%)、50%-65%(含50%)、35%-50%(含35%)者,分别得100分、80分、60分、40分。参与度低于20%的同学,无资格参与评优评先及助学金评定。
第八章 测评结果及其应用
第十七条 每学年学生素质综合测评的最终结果(记作F)是基本素质测评(F1)课程学习成绩(F2)、科研和论文(F3)、社会活动(F4)、“三早”制度及寝室卫生(F5)、参与班级活动(F6)得分的加权之和,其计算公式为:
F=F1×10%+F2×65%+F3×12%+F4×10%+F5×2%+F6×1%
第十八条 测评结果经学院审核后,应在本测评单位内进行公示。在公示期内,若有学生提出异议,学院应在一周内核查并作出裁决。
第十九条 测评结果体现学生综合素质的相对水平,作为下列各项工作的依据:
(一)评定各类奖学金的基本依据;
(二)评选优秀学生、三好学生、三好学生标兵、优秀毕业生等先进个人荣誉称号的基本依据;
(三)评选先进班集体、先进班集体标兵等先进集体荣誉称号的基本依据之一;
(四)审批困难补助、减免学费的申请等学生资助项目的考查依据之一;
(五)推荐免试研究生的参考依据。
第九章 组织机构
第二十条 为保证学院本科学生素质综合测评工作的顺利开展,学院成立本科学生素质综合测评工作领导小组成员,名单如下:
组 长:谢献谋
副组长:邹维列
组 员:余 娟 胡俊峰 周莉莉 刘光明 杨荷 别依依
第十章 附 则
第二十一条 本办法由Bsports必一体育负责解释、修改。
第二十二条 本办法自2018年9月起施行。